Nitrous oxide (N₂O) is a potent greenhouse gas, with agricultural soils representing a major source of emissions. Partial manure substitution has gained attention in recent years as a sustainable fertilization practice, yet its impact on N₂O release—especially in phosphorus-deficient acidic soils of subtropical regions—remains poorly understood.
To address this, the soil ecology team from the School of Geographical Sciences at Fujian Normal University conducted a detailed investigation based on a 21-year long-term field experiment at the Chinese Academy of Sciences’ Yingtan Red Soil Ecological Experimental Station. By applying ¹⁵N isotope tracing and DNA-based stable isotope probing (DNA-SIP), the team systematically analyzed how partial manure substitution influences N₂O emissions under varying nutrient conditions.
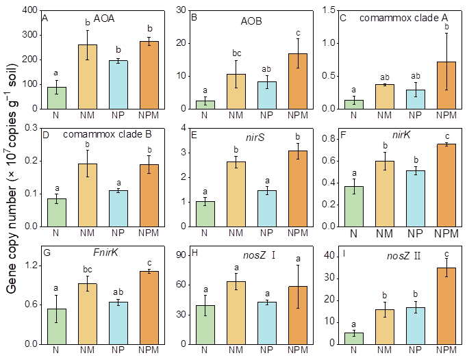
The study yielded a striking contrast: while manure substitution increased N₂O emissions by 30% under nitrogen-only (N) fertilization, it significantly reduced emissions by 22% when phosphorus was also applied (NP regime). This divergence was driven by shifts in microbial nitrogen transformation processes. Under N-only conditions, manure substitution stimulated both autotrophic nitrification and denitrification. Under NP conditions, however, it suppressed heterotrophic nitrification—a major source of N₂O—and led to significant enrichment of the nosZ clade II gene, which supports N₂O reduction.
These results underscore the essential role of phosphorus availability in determining the greenhouse gas outcomes of manure substitution. They also highlight the need to account for nutrient imbalances when evaluating the environmental co-benefits of organic fertilization practices.
The findings provide a scientific basis for optimizing manure application strategies to mitigate greenhouse gas emissions and support sustainable agriculture. They also offer key insights for harmonizing agricultural productivity with environmental goals.
The study, entitled “Divergent Impacts of Partial Manure Substitution on Soil Nitrous Oxide Emissions Dependent on Phosphorus Availability,” has been published in the internationally renowned soil science journal Soil Biology & Biochemistry. Fujian Normal University is listed as the primary affiliation, with doctoral student Cheng Yuheng (enrolled in 2024) as the first author and Researcher Lin Yongxin as the corresponding author. The research was supported by the National Natural Science Foundation of China and the Natural Science Foundation of Fujian Province.

Figure 1. Conceptual diagram illustrating the effects of manure substitution on nitrogen transformation processes and N₂O emissions.

Figure 2. Abundance of nitrogen cycling functional genes.
Full link:
https://doi.org/10.1016/j.soilbio.2025.109975
(Translated by Yan Jiaxu / Reviewed by Huang Danqing)
